ZE高温高压石油化工流程泵
简介:ZA型石油化工流程泵是根据API610和VDMA24297规范设计的,适合输送各种温度和浓度的酸、盐溶液、液态石油化工产品、有机化合物、其他有腐蚀性的原料和产品等。
ZA型石油化工流程泵与介质接触的部件常用0Cr18Ni9,1Cr18Ni9,0Cr18Ni9Ti,1Cr18Ni9Ti,0Cr18Ni12Mo2Ti,40Cr, 蒙乃尔,1Cr18Ni12Mo2Ti,Ti(钛), 00Cr17Ni12Mo2Ti,哈氏B合金,0Cr25Ni20,F5系列合金,20合金钢, 0Cr25Ni6Mo3Cu2Mn2Si等材质,轴封采用机械密封,用户可以根据实际工况选定。
应用:炼油厂、石油化学工业、煤加工工业和低温工程;
化学工业、造纸、纸浆液、制糖业和普通流程工业;
供水厂、海水淡化厂;
供暖和空气调节系统;
发电厂;
环境保护工程;
船舶及海上工业。
性能范围:流量Q 3~2600m3/h
扬程H 4~250m
出口直径DN 25~400mm
工作压力 ~5.0MPa
工作温度 -80~450℃
泵型号意义说明:

结构特点:该泵为单级、卧式径向剖分蜗壳泵,泵体为中xin支撑;单吸径向叶轮,轴向吸入,径向排出;轴封采用单端面或双端面机械密封,并配有冷却、冲洗或密封系统;从电机端看泵为顺时针转动。具体结构特点如下:
1、按照API610标准设计,采用组件装配,联轴器带加长段;保证执行流程工业的结构和维修标准,拆装泵时无须拆下管道和电机,易于拆装,便于维修。
2、泵体管径大,径向力小,轴挠度小;管内流速小,振动小,噪音低;管道结构简单,承载力好;泵体无须支架,不会断裂,寿命长。
3、叶轮为闭式或开式。闭式叶轮对工况适应性强,效率高,汽蚀余量低;开式叶轮适用于输送汽液两相流和含固体颗粒浓度大的液体。
4、泵盖上带有冷却和加热轴承箱体的结构,轴封有填料密封和机械密封两种类型。
5、整体重型轴承支架带散热片,同轴度好,稳定性高,刚性好,挠度小,不增加轴承温度。
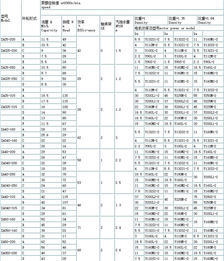
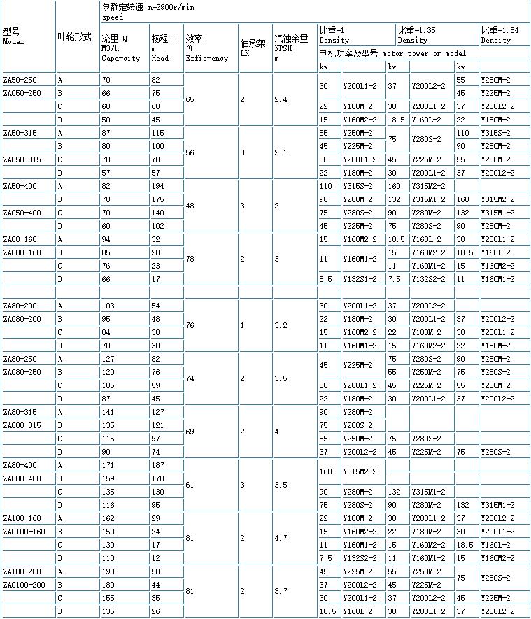
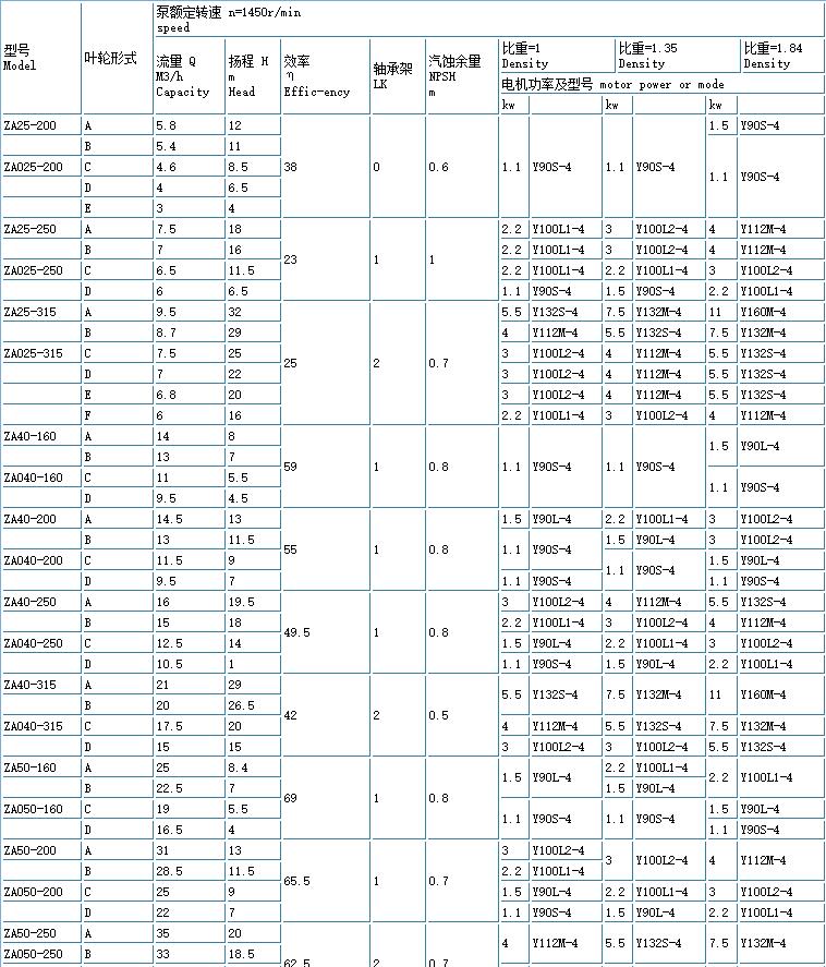
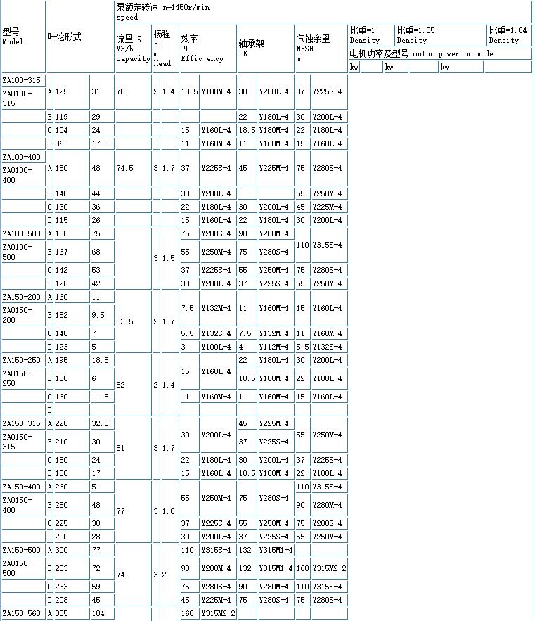
性能参数表







用户使用时应严格注意
一、应往轴承箱内加注润滑油,油量应控制于油窗中间水平面。
二、开车前用手盘动联轴器,有无在安装过程中产生卡死现象如有碰擦异常应予消除。
三、起动前先接通冷却冲洗液,停车时应先停车再关闭冷却冲洗液。
四、冷却冲洗液必须是干净的不结垢的软水,因此对新安装的管路和储蓄罐应冲洗干净。防止有固体物质进入机械密封影响密封效果和寿命。易结垢的水质会堵塞冷却冲洗液通路。同样会影响密封的使用效果和寿命。
五、用冷凝水作密封冲洗液效果是理想的,温度<85℃。
六、冷却冲洗液的压力为0.1~0.3MPa,流量为0.63m3/h,流量过小会影响密封的使用寿命。
故障 | 原因 | 解决方法 |
出口无排量 | 1、 泵内没有灌满液体 2、 吸入管路有空气吸入 3、 安装高度太高,输入热的或易汽化介质 4、 转向反 5、 要求扬程大于扬程 | 1、 重灌液体 2、 修理管路 3、 降低泵安装高度 4、 改变转向 5、 选择新泵 |
流量不足 | 1、 底阀太小 2、 吸入管路浸入液体深度不够,有空气带入泵内 3、 吸入管径太小,有杂物阻塞 4、 排出管过细,管路损失太小 5、 叶轮磨损 | 1、 配置大底阀 2、 增加浸入深度 3、 换粗管,清楚杂物 4、 更换排出管路 5、 更换叶轮
|
振动噪声大 | 1、 泵于电机轴不同心 2、 泵轴弯曲 3、 叶轮螺母松脱 4、 泵内有杂物进入 5、 轴承损坏 | 1、 校准泵与电机轴心线 2、 卸下校直或更换新轴 3、 卸泵、上紧叶轮螺母 4、 卸泵、清除杂物 5、 更换轴承 |
轴承过热 | 1、 油杯无油 2、 泵轴与电机轴不对中 | 1、 加油 2、 两轴对中 |
研发与创新
生产与供货
安装与验收